Analytical and Computational Challenges of Incompressible Flows at High Reynolds Number / b12
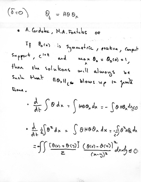
Maximum principle and singularities for models of Navier-Stokes equations - Diego Cordoba
5/20/2004

Previous Home Next

b12