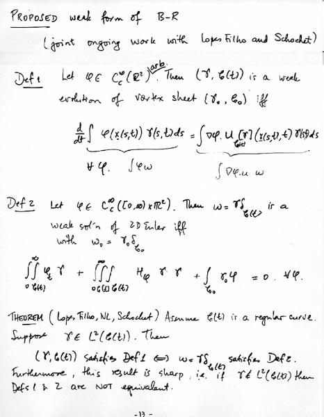
Analytical and Computational Challenges of Incompressible Flows at High Reynolds Number / b13
Helena Lopes
5/18/2004

Previous Home Next

b13