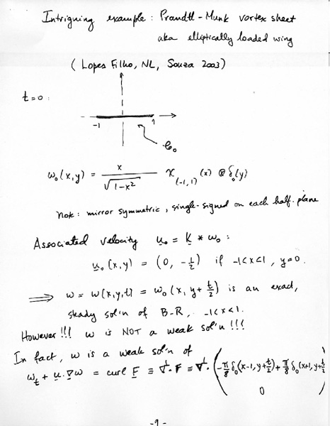
Analytical and Computational Challenges of Incompressible Flows at High Reynolds Number / a9
Helena Lopes
5/18/2004

Previous Home Next

a9